Variance Functions
Returns the statistical variance - how far a set of values is spread out based on a sample of the population (VAR), or based on a biased population (VARP). Variance is non-negative, zero indicates that all values are identical.
Variance computation is used to build standard deviation and other statistical functions.
To measure spread, variance calculates the mean of all values in the sample. For each input value in the set, the difference of the value from the mean is computed, and this difference is squared. All of the squares are added together, and then divided by a sample size factor, depending on the function you are using.
- Values for variance are non-negative. A value of 0 indicates that there is no variance among the values; all values are identical.
- The square root of variance is the standard deviation. See Standard Deviation Functions.
- Covariance measures how two sets of values change together. See Covariance Functions.
The spread is measured for a sample of the (biased) population (VAR) or for the entire (unbiased) population (VARP).
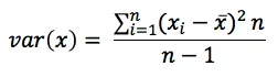
For a sample of the population, use the VAR function, which divides the sum of squares by the number of values in the same size (N-1):
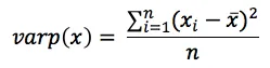
- `VAR (*numeric*)` - where *numeric* is a fact or metric - Computes the sum of squared differences from the mean for *n* values divided by *n-1*If the set of values is the entire population of values, use the VARP function, which divides the sum of squares by N:
- `VARP (numeric)``
- where numeric is a fact or metric
- Computes the sum of squared differences from the mean for n values divided by n]
- `VARP (numeric)``
Syntax
SELECT VAR(…)
SELECT VAR(metric)
SELECT VARP(fact)Examples
SELECT VAR({metric/internal_rate_of_return})
SELECT VARP({metric/gross_weight})
